Avery Bailey, Andrew Youdin, Kaitlin Kratter
In this paper, we extend the foundational work of Bondi (1952) to include the effects of radiative feedback in gas-pressure-dominated environments. We construct steady-state spherically symmetric accretion solutions including radiative heating and cooling. Under the simplifying assumption of a constant opacity, the solutions are controlled by four dimensionless parameters: the adiabatic index γ, optical depth through the Bondi radius τB, dimensionless luminosity at infinity L̃ ∞ and a characteristic dimensionless cooling time β. We present numerical solutions across the dimensionless parameter space (τB, L̃∞, β) ∈ [10-3 ,103] Contrary to radiation-pressure-dominated environments, radiative feedback primarily operates to suppress accretion — particularly at high τB, L̃∞ , and/or β. We also present analytic descriptions confirming the suppressive nature of this feedback and give the scalings for the accretion rate Ṁ ~ L̃∞-5/4 at large L̃∞ , Ṁ ~ τB-10/11 β-5/11 at large τB, and Ṁ ~ (L̃∞ τB)-5/8 for large L̃∞ τB. We discuss the potential role of convection in these steady-state solutions, and the particular relevance to problems of planet formation where radiative heating is significant, but the system remains in the gas-pressure-dominated regime.

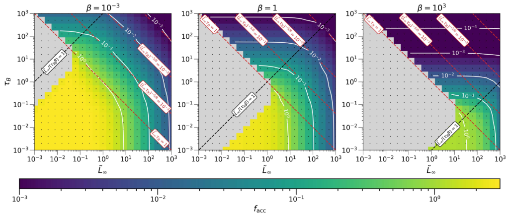
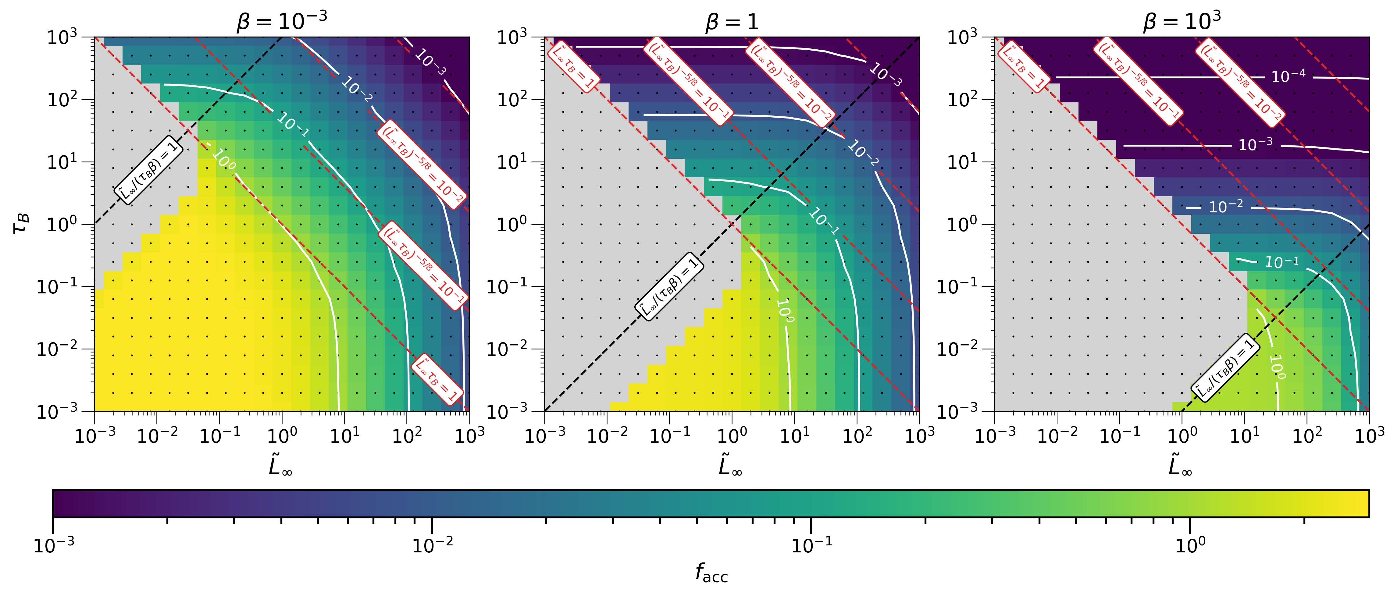
Figure 3. Slices at fixed β ∈ (10−3, 1, 103) in the surveyed parameter space, mapping the steady-state accretion rates relative
to the adiabatic Bondi rate. Each black dot corresponds to a computed steady-state solution on our model grid with the
surrounding square colored according to the value of facc. Cells for which no transonic solution could be found are colored
gray. Solid white contours are also drawn for each decade of facc. For reference, dashed lines for the conditions ˜ L∞ = τBβ and
facc = (˜ L∞τB)−5/8 with facc = (10−3, 10−2, 10−1, 1) are included (see Section 3.2 for the origin of these scalings).